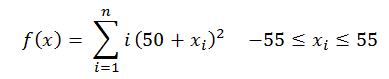
Moved hyper-ellipsoid function

Script: movedellipsoid.qscript
'script language = VBscript
function Main()
sum = 0
for i = 1 to qs_NVARS
sum = sum + i * qs_sqr(50 + qs_VAR(i))
next
' Save results
qs_RESULT(1) = sum
end function
QstatLab model (see OptimizationModels.qsl in Examples):
Type =script
nvars = 2
scriptfile = movedellipsoid.qscript
lvar1 = -55
uvar1 = 55
var1 = 0
lvar2 = -55
uvar2 = 55
var2 = 0
Minimum:
Optimal value is 0, achieved for VAR(i) = -50;
Plots:
